前回は大気汚染物質の測定を行う上で, パッシブサンプラーには様々な利点があることをお話ししました。今回は小川商会のパッシブサンプラーについて解説したいと思います。
ここでご紹介する小川商会のパッシブサンプラーは,横浜市環境科学研究所の平野耕一郎氏により開発されたアイデアを製品化したものです。平野氏らの描いた性能を忠実に発揮できるものを市場に投入するべく,材質の選定や加工方法などを多岐にわたって小川商会で平野氏と協働で検討を進めた結果の商品です。一般的にはこのサンプラーは,“小川サンプラー”,“小川パッシブサンプラー(Ogawa Passive Sampler)”,“NO,NO2同時測定用サンプラー”と呼ばれていて,学会などでは“O式サンプラー”とも呼ばれている場合があります。以下,便宜上,小川サンプラーと記述させていただきます。
まず、小川サンプラーの最大の特長は,一つのサンプラーで二つの成分が同時に捕集できて,同時測定が可能である点です。NO2の測定を行うためのサンプラーは,小川サンプラー開発当時からいくつかの種類があって,特に市民団体などの独自調査などに利用されていました。しかし,平野氏はパッシブサンプラーをより学術的裏付けを持ったものに進化させるべく科学的視点からサンプラー自体の構造や機能に検討を加えて今の形を作り上げ,同時に検討されたのは“NOとNO2の二成分同時測定ができるサンプラー”という具体的な点で,これが小川サンプラーのスタートとなりました。数10年前の大気汚染の状況が厳しかった時代に,その中心にあった窒素酸化物による大気汚染調査の現場に活躍の場が与えられて,大気汚染状況のワンランクアップした実態把握に国を始め各地方自治体で使われるようになって,大気汚染対策の策定に役立ち,得られた測定データは対策の効果判定とさらに次のステップの対策策定のための重要な測定器として重宝されてきました。
ここからNO,NO2同時測定法について記述することで小川サンプラーの概要を説明します。

1. ポリエチレン多孔栓
2. ステンレス金網
3. NO2捕集用ろ紙 (14.5mmφ)
4. テフロンリング
5. テフロン円板
6. ジュラコン本体 (内径15mm, 外径19m, 長さ26mm)
7. NOx捕集用ろ紙 (14.5mmφ)

サンプラーの基本概念:小川サンプラーを少し難しく科学的に表現すると分子拡散の原理を用いた分子拡散方式のサンプラーです。分子拡散とは,物質が濃度の高い方から低い方へ移動する現象であり,Fickの拡散第一則により一般的に示されます。分子拡散の原理に基づいた捕集方法(物質移動の原理に基づく方法)では,捕集量(物質移動量)が捕集速度に比例することを利用しています。詳細はここでは割愛させていただきますので,文末の参考資料をご参照ください。
サンプラーの構造と構成:図1に本実験で使用した小川サンプラーの構造,図2にその外観写真を示します。大きさは直径2 cm,長さ3 cm,重さが約10 gと小型軽量で,両側が同じ構造をしており,2種類の捕集用ろ紙をセットすることができるのが大きな特長です。まずは窒素酸化物のNO,NO2の同時測定について説明しましょう。

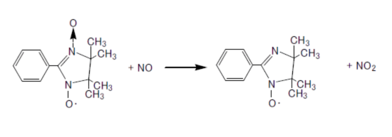
片側にトリエタノールアミン(TEA)を含浸した直径14.5 mmのNO2捕集セルロースろ紙を装填し,NO2を捕集します。もう一方のNOx捕集ろ紙にはTEAの他にNOの選択的な酸化剤であるPTIO(2-Phenyl -4,4,5,5,-tetramethylimidazoline-3-oxide-1-oxyl)が合わせて含浸されていて,NOはそのままではTEAなどの試薬には捕集できませんが,PTIOによってNO2に酸化されることで,NO2と同時にNOも捕集することができて,結果的にNOx捕集ろ紙では(NO+NO2)として捕集されます。両者の差を計算することでNOの捕集量を求めることができるわけです。従って,一つのサンプラーでNOとNO2を同時に測定することが可能となります。
また,内部に装填されている捕集用ろ紙を交換するだけで,繰り返し使用できることは本サンプラーの利点の一つです。
測定方法:サンプラーに捕集用ろ紙をそれぞれ装填した後,測定地点に固定し,一定時間放置することでNO2とNOxをそれぞれ捕集します。捕集期間中はシェルター内(標準品を販売しています)にサンプラーを格納することで雨・強風の影響を除去します。捕集終了後はサンプラーを回収して密閉容器に入れて実験室に持ち帰り,捕集済みのろ紙をそれぞれ別々の清浄な容器に取り出して水8~10 mLを加えて捕集成分を水に抽出して,分析用試料とします。吸光光度法を原理とする分析方法で分析用試料中の亜硝酸イオン(NO2–)濃度を分析して,NO2とNOxの捕集量を求めます。最後に得られる捕集量と捕集時間をあらかじめ決められた濃度換算式に代入して大気濃度(ppb)を算出する方法です。
サンプラーの組み立て設置から,分析方法及び大気中の濃度計算方法などひと通りの測定方法については本サイト(https://ogawajapan.com/measurement_method/)でご確認いただけます。是非ご参照ください。
一方,小川サンプラー測定法の利点を生かすためには,捕集後の分析方法にも一層の迅速さ,かつ高精度さが求められていると思います。そこで小川商会のもう一つの事業で,すでに技術報告(No. 1~3)でも紹介しているフローインジェクション分析法(Flow Injection Analysis, FIA)をパッシブサンプラー捕集法の分析操作に適用することで,NO,NO2同時測定法自体の迅速化,高精度・高感度化を試みて,それが達成できました。この点については次回以降の技術紹介で述べたいと思います。
また,小川サンプラーはNO NO2同時測定の他にも二酸化硫黄(SO2),オゾン(O3),アンモニア(NH3)の測定にも利用することができます。これらについても次回以降で紹介させていただきます。
小川サンプラーについて紹介させていただいていることで,筆者は以下のような問いかけを読者の皆様にさせていただきたいと思います。と同時に筆者の意見も次回以降の報告で併せて記載させていただきたいと思っています。
そもそも大気環境測定は現状で十分に成熟しているか?
大気環境測定の現場で測定に関わっている皆さんは今の状況に満足ですか?
得られる情報を受け取る側は今の状況には満足ですか?
【参考資料】
平野耕一郎,前田裕行,石井哲夫,米山悦夫,環境と測定技術,12,32 (1985).
平野耕一郎,前田裕行,松田啓吾,横浜市公害研究所所報,15, 3 (1991).
平野耕一郎,前田裕行,松田啓吾,横浜市環境科学研究所資料,No. 128, 3 (1997).
平野 耕一郎,齊藤 勝美,改訂版 短期暴露用拡散型サンプラーを用いた環境大気中のNO,NO2,SO2,O3 およびNH3 濃度の測定方法,平成22年(2010年)8月
